serosv

Codecov test coverage R-CMD-check

serosv is an easy-to-use and efficient tool to estimate infectious diseases parameters (seroprevalence and force of infection) using serological data. The current version is mostly based on the book “Modeling Infectious Disease Parameters Based on Serological and Social Contact Data – A Modern Statistical Perspective” by Hens et al., 2012 Springer.

Installation

You can install the development version of serosv with:

# install.packages("devtools")
devtools::install_github("OUCRU-Modelling/serosv")

Feature overview

Datasets

serosv contains 15 built-in serological datasets as provided by Hens et al., 2012 Springer. Simply call the name to load a dataset, for example:

rubella <- rubella_uk_1986_1987

Methods

The following methods are available to estimate seroprevalence and force of infection.

Parametric approaches:

Nonparametric approaches:

Semiparametric approaches:

Demo

Fitting rubella data from the UK

Load the rubella in UK dataset.

library(serosv)
rubella <- rubella_uk_1986_1987

Fit the data using a fractional polynomial model via fp_model(). In this example, the model searches for the best combination of powers within a specified range.

rubella_mod <- fp_model(
  rubella,
  p=list(
    p_range=seq(-2,3,0.1), # range of powers to search over
    degree=2 # maximum degree for the search
  ), 
  monotonic = T, # enforce model to be monotonic
  link="logit"
)
rubella_mod
#> Fractional polynomial model 
#> 
#> Input type:  aggregated 
#> Powers:  -0.9, -0.9 
#> 
#> Call:  glm(formula = as.formula(formulate(curr_p)), family = binomial(link = link))
#> 
#> Coefficients:
#>               (Intercept)                I(age^-0.9)  
#>                     4.342                     -4.696  
#> I(I(age^-0.9) * log(age))  
#>                    -9.845  
#> 
#> Degrees of Freedom: 43 Total (i.e. Null);  41 Residual
#> Null Deviance:       1369 
#> Residual Deviance: 37.58     AIC: 210.1

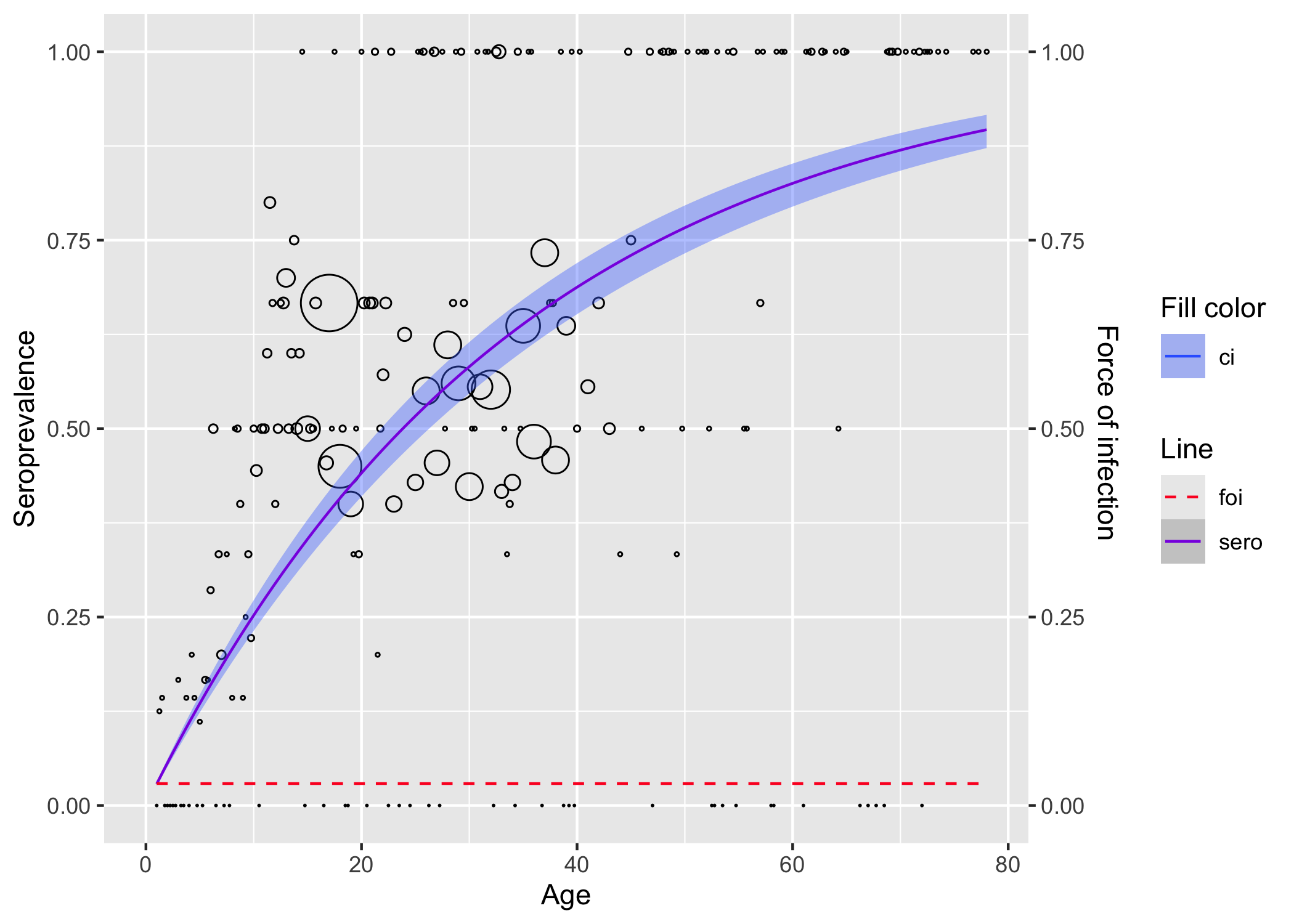
Visualize the model

plot(rubella_mod)

Fitting Parvo B19 data from Finland

library(dplyr)
parvob19 <- parvob19_fi_1997_1998

# for linelisting data, either transform it to aggregated
transform_data(
  parvob19$age, 
  parvob19$seropositive,
  stratum_col = "age") |>
  polynomial_model(k = 1) |>
  plot()


# or fit data as is
parvob19 |>
  rename(status = seropositive) |>
  polynomial_model(k = 1) |>
  plot()