ggprism

R-CMD-check Codecov test coverage CRAN version Website https://csdaw.github.io/ggprism DOI

The ggprism package provides various themes, palettes, and other useful functions to customise ggplots and give them the ‘GraphPad Prism’ look.

Install

Install the latest version from CRAN:

install.packages("ggprism")

Install the development version from GitHub:

remotes::install_github("csdaw/ggprism")

How to Use

See the Getting Started page for a quick overview of ggprism features. Detailed examples and instructions can be found below and on the ggprism website.

library(ggplot2)
library(ggprism)

tg <- ToothGrowth
tg$dose <- as.factor(tg$dose)

base <- ggplot(tg, aes(x = dose, y = len)) + 
  geom_violin(aes(colour = dose, fill = dose), trim = FALSE) + 
  geom_boxplot(aes(fill = dose), width = 0.2, colour = "black") + 
  scale_y_continuous(limits = c(-5, 40))

p_vals <- tibble::tribble(
  ~group1, ~group2, ~p.adj,   ~y.position,
  "0.5",   "1",     8.80e-14, 35,
  "0.5",   "2",     1.27e-7,  39
)
base

base + 
  scale_color_prism("floral") + 
  scale_fill_prism("floral") + 
  guides(y = "prism_offset_minor") + 
  theme_prism(base_size = 16) + 
  theme(legend.position = "none") + 
  add_pvalue(p_vals, label = "p = {p.adj}", tip.length = 0, label.size = 4)
#> Warning: The S3 guide system was deprecated in ggplot2 3.5.0.
#> ℹ It has been replaced by a ggproto system that can be extended.
#> This warning is displayed once every 8 hours.
#> Call `lifecycle::last_lifecycle_warnings()` to see where this warning was
#> generated.

Feedback and Contributions

Any feedback, questions, and suggestions are welcome and should be shared via GitHub discussions.

Bug reports should be submitted via GitHub issues with a minimal reproducible example, e.g. using the reprex package.

Contributions to ggprism are also welcome and pull requires should also be submitted via GitHub issues. Please fork/clone this repository and create a new branch to develop your contribution in. Some ways to contribute might include:

Cite

I would be very grateful if you could cite this package if you use it in your publication:

Charlotte Dawson (2025). ggprism: A ‘ggplot2’ Extension Inspired by ‘GraphPad Prism’. R package version 1.0.7. https://cran.r-project.org/package=ggprism doi: 10.5281/zenodo.4556067

# BibTex for LaTeX users
@Manual{
title = {ggprism: A 'ggplot2' Extension Inspired by 'GraphPad Prism'},
author = {Charlotte Dawson},
year = {2025},
note = {R package version 1.0.7},
url = {https://cran.r-project.org/package=ggprism},
doi = {10.5281/zenodo.4556067}
}

More Examples

Recreates this figure from the GraphPad Prism website. See this vignette for the source code and step-by-step instructions.

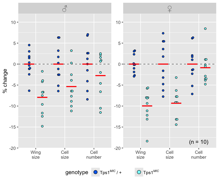
Recreates Figure 2B from Matsushita & Nishimura (2020), which was originally created using GraphPad Prism. See this vignette for the source code and step-by-step instructions.